Метод преобразования электрических схем применяют для расчета сложных испей путем преобразований треугольника сопротивлений в эквивалентную звезду или звезды сопротивлений в эквивалентный треугольник.

Контур, состоящий из трех сопротивлений , имеющий три узловые точки , образует треугольник сопротивлений (рис. 4.6а).
Электрическая цепь, состоящая из трех сопротивлений соединенных в одной узловой точке О, образует звезду сопротивлений (рис. 4.66).
Расчет некоторых сложных цепей значительно упрощается, если соединение звездой в них заменить соединением треуголь-• ником или наоборот.
Преобразование схемы должно производиться так, чтобы при неизменном напряжении между точками токи звезды и треугольника оставались без изменений.
Треугольник и звезда, удовлетворяющие этому условию, называются эквивалентными.
Для такого преобразования рекомендуется изображать схему цепи без заменяемого треугольника (или звезды), но с обозначенными вершинами и к этим обозначенным вершинам подсоединить эквивалентную звезду (или треугольник).
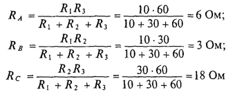
При замене треугольника эквивалентной звездой сопротивления звезды определяются следующими выражениями:
Таким образом, каждое сопротивление эквивалентной звезды равно отношению произведения двух примыкающих к соответствующей узловой точке сопротивлений треугольника к сумме трех его сопротивлений.
При замене звезды эквивалентным треугольником каждое сопротивление треугольника определяется следующими выражениями:
Каждое сопротивление эквивалентного треугольника равно сумме трех слагаемых: двух примыкающих к соответствующим точкам сопротивлений звезды и отношению произведения этих сопротивлений к третьему сопротивлению звезды.
с Определить токи во всех ветвях цепи (рис. 4.7а) при следующих Исходных данных:
Решение
Дчя расчета этой цепи заменим треугольник сопротивлений, Подключенных к точкам , эквивалентной звездой, подключенной к тем же точкам (рис. 4.76).
Определим величины сопротивлений эквивалентной звезды:


Определить токи во всех ветвях цепи, схема которой приведена на рис. 4.8а, если задано:
Решение
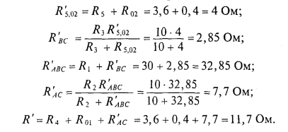
Количество ветвей и соответственно различных токов в цепи (рис. 4.8а) равно пяти. Произвольно выбирается направление этих токов.
Расчетных схем две, так как в цепи два источника с ЭДС и . Вычисляются частичные токи, созданные в ветвях первым источником . этого изображается та же цепь, только вместо — его внутреннее сопротивление . Направление частичных токов в ветвях указаны в схеме рис. 4.86.
Вычисление сопротивлений и токов производится методом свертывания.

Первые частичные токи в цепи (рис. 4.86), созданные источником , имеют следующие значения:

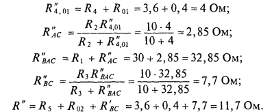
Вычисляются частичные токи, созданные вторым источником. Для этого изображается исходная цепь, в которой источник :ЭДС заменен его внутренним сопротивлением . Направления частичных токов в ветвях указаны на схеме рис. 4.8в. 1 Сопротивления и токи определяются методом свертывания.

Вторые частичные токи в цепи (рис. 4.8в) имеют следующие значения:

Искомые токи в рассматриваемой цепи (рис. 4.8а) определяют алгебраической суммой частичных токов (см. рис. 4.8):
Ток имеет знак «минус», следовательно, его направлен и противоположно произвольно выбранному, он направлен из точ ки А в точку В.
Расчет сложных разветвленных электрических цепей с несколькими источниками и двумя узлам, можно осуществить
методом узлового напряжения. Напряжение между узлами и называется узловым. -узловое напряжение цепи (рис. 4.9)
Для различных ветвей (рис. 4.9) узловое напряжение можно определить следующим образом.
1. Поскольку для первой ветви ис точник работает в режиме генератор;
Величина тока определяется как
где проводимость 1-й ветви.
2. Для второй ветви источник работает в режиме потребителя следовательно
3. Для третьей ветви
(Потенциал точки для третьей ветви больше, чем потенции, точки А, так как ток направлен из точки с большим потенциалов в точку с меньшим потенциалом.)
Величину тока можно определить по закону Ома
По первому закону Кирхгофа для узловой точки А (или В):
Подставив в уравнение (4.6) значения токов из уравнений (4.3), (4.4) и (4.5) для рассматриваемой цепи, можно записать
Решив это уравнение относительно узлового напряжения , ожно определить его значение
Следовательно, величина узлового напряжения определяется от-ошением алгебраической суммы произведений ЭДС и проводимости етвей с источниками к сумме проводимостей всех ветвей.
Для определения знака алгебраической суммы направление токов во всех ветвях выбирают одинаковым, т. е. от одного узла другому (рис. 4.9). Тогда ЭДС источника, работающего в режиме генератора, берется со знаком «плюс», а источника, работающего в режиме потребителя, со знаком «минус».
Таким образом, для определения токов в сложной цепи с двумя злами вычисляется сначала узловое напряжение по выражению 4.9), а затем значения токов по формулам (4.3), (4.4), (4.5).
Узловое напряжение может получиться положительным или ггринательным, как и ток в любой ветви.
Знак «минус» в вычисленном значении тока указывает, что реальное направление тока в данной ветви противоположно 'словно выбранному.
В ветвях схемы (рис. 4.10) требуется определить токи, если: 
Решение
I. Узловое напряжение
где
тогда
Токи в ветвях будут соответственно равны
Как видно из полученных результатов, направление токов противоположно выбранному. Следовательно, источник работает в режиме потребителя.
Два генератора (рис. 4.11), ЭДС и внутреннее сопротивление которых одинаковы: , питают
потребитель (нагрузку) с сопротивлением
Как изменится ток второго генератора:
1) при увеличении его ЭДС на 1 %;
2) при увеличении узлового напряжения на 1 %.
Решение
Определяется узловое напряжение цепи (рис. 4.11)
Тогда ток второго генератора
I. При увеличении на 1 %, его величина станет равной
тогда
При этом |;довательно, увеличение ЭДС генератора на 1 % приводит личению тока этого генератора на 24 %.
2. При увеличении узлового напряжения на 1 % его величина станет равной
При этом
мм образом, ток второго генератора при увеличении узлово-.пряжения на 1 % уменьшится на 23,4 %.
Знак «минус» означает уменьшение, а не увеличение тока
Как видно из решения примера 4.8, незначительное изменение ЭДС одного из параллельно работающих генераторов значительно изменяет ток этого генератора.
Причиной значительного изменения тока генератора может также незначительное изменение узлового напряжения 4.11), что связано с изменением сопротивлений участков или ЭДС источников.
Параллельное соединение генераторов нашло широкое примере в электрических сетях энергоснабжения потребителей осветительная и силовая нагрузка).
Значительные изменения токов генераторов, вызванные незна-пьными изменениями параметров схемы электропитания постелей от параллельно включенных генераторов, необходимо ывать при проектировании и эксплуатации электроустано-в частности тот факт, что в различное время суток работает ое количество параллельно включенных генераторов.
Увеличение ЭДС какого-либо из параллельно работающих генераторов приведет к тому, что ток этого генератора окажется в олько раз больше тока остальных генераторов. Этим обстоятельством пользуются, когда хотят «перевести нагрузку» с одного генератора на другой.
Генераторы окажутся также неодинаково загруженными при равых ЭДС, но при различных внутренних сопротивлениях. Более загруженными окажутся генераторы с меньшим внутренним сопротивлением.
И снижении ЭДС какого-либо из параллельно включенных раторов до величины узлового напряжения цепи ток в цепи этого генератора падает до нуля: . Генератор, находящийся в таком режиме, называется уравновешенным (скомпенсированным). Если ЭДС генератора станет меньше углового напряжения, то такой генератор начнет работать в режим потребителя.
Метод узловых и контурных уравнений для расчета сложных электрических цепей подразумевает составление системы уравнений по законам Кирхгофа. При составлении системы уравнения должно учитываться следующее.
1. Число уравнений равно числу токов в цепи (число токов paвно числу ветвей в рассчитываемой цепи). Направление токов на ветвях выбирается произвольно.
2. По первому закону Кирхгофа составляется уравнение где n —число узловых точек в схеме.
3. Остальные уравнения составляются по второму закону Кирхгофа.
В результате решения системы уравнений определяются иске мые величины для сложной электрической цепи (например, вс токи при заданных значениях ЭДС источников и сопротивл< ний резисторов). Если в результате расчета какие-либо токи полу чаются отрицательными, это указывает на то, что их направлени противоположно выбранному.
Составить необходимое и достаточное количество уравнени* по законам Кирхгофа для определения всех токов в цепи (рис. 4.12) методом узловых и контурный уравнений.
Решение
В рассматриваемой сложной цепи имеется 5 ветвей, сдедовательно, 5 различных токов, поэтому для расчета необходимо соста вить 5 уравнений, причем 2 уравнения — по первому закон: Кирхгофа (в цепи узловых точки ) и 3 уравнения по второму закону Кирхгофа (внутренним сопротивлением ис точников пренебрегаем, т. е. = О).
Обход по часовой стрелке.
Определить токи в примере 4.7 методом узловых и контурных уравнений (схема рис. 4.10) при тех же заданных условиях.
Решение
При выбранном в схеме рис. 4.10 направлении токов составим необходимое и достаточное количество уравнений по законам Кирхгофа:
1.
2. (обход по часовой стрелке)
3. (обход против часовой стрелки)
К уравнение (2) подставляются значения тока из уравнения и числовые значения заданных величин. Тогда уравнения (2) будут выглядеть так:
Иля сокращения тока при суммировании уравнений (2) и (3) К числовые значения уравнения (3) умножаются на 2 (два).
Откуда
Из уравнения

И из уравнения (1):
Очевидно, что полученный результат совпадает с результатом полученным методом узлового напряжения.
При расчете сложных цепей методом узловых и контурных уравнений (по законам Кирхгофа) необходимо решать систему из большого количества уравнений, что значительно затрудняет вычисления.
Так, для схемы рис. 4.13 необходимо составить и рассчитать систему из 7-ми уравнений.
Ту же задачу можно решить, записав только 4 уравнения по второму закону Кирхгофа, если воспользоваться методом контурных токов.
Суть метода состоит в том, что в схеме выделяют т независимых контуров, в каждом из которых произвольно направлены (см. пунктирные стрелки) контурные токи . Контурный ток — это расчетная величина, измерить которую невозможно.
Как видно из рис. 4.13, отдельные ветви схемы входят в два смежных контура. Действительный ток в такой ветви определяется алгебраической суммой контурных токов смежных контуров.
Для определения контурных токов составляют m уравнений по второму закону Кирхгофа. В каждое уравнение входит алгебраическая сумма ЭДС, включенных в данный контур (по одну сторону от знака равенства), и общее падение напряжения в данном контуре, созданное контурным током данного контура и контурными токами смежных контуров (по другую сторону знака равенства).
Для данной схемы (рис. 4.13) необходимо составить 4 уравнено знаком «плюс» записываются ЭДС и падения напряжению разные стороны знака равенства), действующие в направлении контурного тока, со знаком «минус» — направленные против контурного тока.
схема уравнений для схемы (рис. 4.13):
Решением системы уравнений вычисляются значения контурных токов, которые и определяют действительные токи в каждой схемы (рис. 4.13).
Определить токи во всех участках сложной цепи (рис. 4.14), если:
Решение
бходимо составить 3 уравнения по второму закону Кирхгофа для определения контурных токов (направление рных токов выбрано произвольно указано пунктирными линиями). 
Подставляются числовые значения величин
Из уравнения (2) определяется ток
Значение тока (выражение (2’)) подставляется в уравнение
То же значение тока подставляется в уравнение (3):
Из полученного уравнения (3) вычитается полученное уравнение (1). В результате получим
Откуда контурный ток
Из уравнения (3) определяется контурный ток
Из уравнения (2') определяется ток
Вычисляются реальные токи в заданной цепи:
Проверяется правильность решения для 1-го контура (рис. 4.14).
Такую же проверку можно произвести и для других контуров (2-го и 3-го):
Проверка показала правильность решения.
Метод эквивалентного генератора рационально применять в случае необходимости определения тока (напряжения, мощности и др.) только одной ветви сложной электрической цепи.
Для этой цели разбивают сложную электрическую цепь на две части — на сопротивление , ток которого нужно определить, и всю остальную цепь, ее называют активным двухполюсником, так как эта часть имеет две клеммы , к которой и подключается сопротивление (рис. 4.15).
Активным этот двухполюсник называют потому, что в нем имеется источник ЭДС. Этот активный двухполюсник обладает определенной ЭДС и определенным внутренним сопротивлением азывается эквивалентным генератором. 
Ток в резисторе с сопротивлением R определяют по закону Ома
Таким образом, определение тока I сводится к вычислению ЭДС эквивалентного гора и его внутреннего сопротивления
чина ЭДС определяется любым методом расчета цепей постоянного тока относительно точек при разомкнутых клеммах, т. е. в режиме холостого хода. Практически эту ЭДС можно измерить вольтметром, подключенным к клеммам лостом ходе.
реннее сопротивление эквивалентного генератора Лж вы-тся относительно точек А и В после предварительной ,i всех источников сложной схемы эквивалентного генера-х внутренними сопротивлениями.
ггически для определения внутреннего сопротивления эк-нтного генератора измеряют амперметром ток между точ-4 и В работающего двухполюсника при коротком замыка-ак как сопротивление амперметра настолько мало, что им I пренебречь. Тогда
где — напряжение холостого хода, — ток короткого замыкания
Такой метод практического определения внутреннего сопротивления эквивалентного генератора называется методом холостого хода и короткого замыкания.
Расчет параметров эквивалентного генератора, его ЭДС и ннего сопротивления , рассматриваются в примерах 4.12
Определить ток в сопротивлении , подключенном к точкам А ектрической цепи (рис. 4.8а) примера 4.6 методом эквивалентного генератора.
Решение
Для определения тока в сопротивлении определим ЭДС эквивалентного генератора (рис. 4.16а) и его внутреннее сопро тивление (рис. 4.166) при холостом ходе, т. е. разомкнутой цеш (между точками ).
Знак «минус» обусловлен тем, что источники в схеме включень встречно и потенциал в точке А больше потенциала в точке В, так как (см. пример 4.6).
Следовательно,
Внутреннее сопротивление эквивалентного генератора
Искомый ток
такой же ток получен в примере 4.6 на сопротивлении
На схеме рис. 4.17а сопротивления плеч моста равны
Сопротивление гальванометра ЭДС источника . Методом эквивалентного генератора определить в ветви гальванометра (между точками А и В).

Решение
Для определения тока в цепи гальванометра методом эквивалентного генератора необходимо вычислить ЭДС эквивалентного генератора между точками А и В (рис. 4.176) и внутреннее сопротивление эквивалентного генератора относительно точек А и В при (отсутствии гальванометра, заменив в схеме (рис. 4.17в) источник ЭДС , его внутренним сопротивлением равным нулю.
Для определения ЭДС эквивалентного генератора принимают потенциал точки С схемы (рис. 4.176) равным нулю, т. е.
При замене источника ЭДС его внутренним сопротивле-нием, равным нулю, замыкаются накоротко точки С и D схемы (рис. 4.17в). При этом (рис. 4.17г) сопротивления соединены между собой параллельно. Также параллельно соединены между собой сопротивления . Между точками А и В сопротивления соединены последовательно. Следовательно, сопротивление эквивалентного генератора относительно точек А и В будет равно
Тогда ток в ветви с гальванометром, который направлен из точки В в точку А, т. е. из точки с большим потенциалом в точку с меньшим потенциалом (рис. 4.17а), будет равен
Эти страницы вам могут пригодиться:
На странице -> решение задач по электротехнике собраны решения задач и заданий с решёнными примерами по всем темам теоретических основ электротехники (ТОЭ).
Услуги:
Присылайте задания в любое время дня и ночи в ➔
Официальный сайт Брильёновой Натальи Валерьевны преподавателя кафедры информатики и электроники Екатеринбургского государственного института.
Все авторские права на размещённые материалы сохранены за правообладателями этих материалов. Любое коммерческое и/или иное использование кроме предварительного ознакомления материалов сайта natalibrilenova.ru запрещено. Публикация и распространение размещённых материалов не преследует за собой коммерческой и/или любой другой выгоды.
Сайт предназначен для облегчения образовательного путешествия студентам очникам и заочникам по вопросам обучения . Наталья Брильёнова не предлагает и не оказывает товары и услуги.
Ваше задание будет готово точно к указанному вами сроку.
План написания будет расписан ПОШАГОВО, чтобы вы без труда разобрались в содержании работы
Все заказы можно оплатить онлайн, не нужно никуда идти. А чем больше вы заказываете тем больше у вас скидка.
Вряд ли хоть один учащийся в ВУЗе подсчитал, сколько часов было потрачено на написание студенческих работ. Причем многие задания были на неинтересные темы, не улучшали знания студента, не формировали его практические навыки. За эти тысячи потраченных часов вполне возможно успеть найти первую работу, пройти испытательный срок и стать по-настоящему ценным специалистом! Вместо этого приходится отрывать время от отдыха, общения с близкими людьми и друзьями, увлечений, выбирая что написать в первую очередь: реферат или первую главу курсовой.
Для помощи в таких ситуациях и создана наша компания. Reshaemonline это универсальный помощник на всем протяжении обучения. С нами легко пишутся рефераты, контрольные, курсовые, дипломные и другие студенческие работы.
Разместите условие. Не забудьте указать вариант и прикрепить методические материалы, если они есть.
Мы подберем автора который лучше всего справится с вашим заказом и назовем вам стоимость.
Внесите предоплату и мы приступим к выполнению.
Ознакомьтесь с работой и оплатите остаток.
Получите высокий балл!
Понравилось обслуживание в личном кабинете на сайте. Все очень быстро, чётко. Отвечали оперативно на все мои вопросы и быстро подготовили решение. Мне нужно было не срочно получить задачки, до конца сессии просто сдать. Но получилось так, что я принесла все листики уже через пару дней!)
В работу вносятся правки, и это отлично! Мое счастье, что вовремя сообразила. В первый раз сдавала, препод не принял ответы без проставленных методов решения. Типа, надо объяснять, как я пришла к такому выводу. Написала менеджеру на сайте, вопрос был решен через день, добавили развернутые ответы.
Уважаемые сотрудника сайта. Я ооочень рада что Вы мне помогаете с учёбой. Постоянно у Вас заказываю решение по сопромату, термодинамике, матанализу и другим непонятным предметам))). Вообщем спасибо огромное, вы мне помогаете получить высшее образование. Еще хотелось бы Вас попросить о скидках ))
Пришлось сдать вступительные и начать учиться на заочке. Честно – я уже в возрасте и уделять время на учебу нет желания. Решил воспользоваться - написал на решаем онлайн, сотрудники быстро ответили, проконсультировали. Теперь заказываю решение задач только у них
Только поступил на 1-ый курс. Наткнулся на проблему – никто не хотел мне помогать с учёбой и домашнем заданием. Решил обратиться к интернету. Очень долго искал подходящий сайт по решение домашних задач. Но везде очень много берут денег и не понятно за что. Самый недорогой сервис – решаем онлайн.
Что в школе, что в университете училась на пять. Но тут наткнулась на предмет, с который у меня ну ни как не выходит разобраться, а тем более понять. Тут у наших ребят подслушала, что решения по различным предметам заказывают, где то в сети. Обратилась и заказываю все решения по эконом теории у вас!
Заказывал решение задач на разных сайтах. Постоянно были проблемы с выполнением. То преподаватели были не довольны, при этом мне не переделывали решение. То не вовремя скинут задачу и опять же не были довольны мной преподы. Наткнулся на сайт решаемонлайн – стал систематично заказывать только тут.
Меня смутило, что некуда приложить условия, на сайте только email и имя. Однако после открылся личный кабинет, где я нашла все нужые вкладки. Отправила фотографию с заданием и села ждать. Ответили моментально, прислали цену и сказали, что нашли автора. Я в восторге от скорости.
Работаю, воспитываю двоих детей одна. Параллельно учусь на заочке. Времени катастрофически не хватает ни на что. На учебе была на гране вылета из-за предмета гражданское право, накопилось много хвостов. Подружка посоветовала обратиться к ребятам из решаемонлайн. В общем они еще и диплом написали!
Катастрофически не хватает времени! Учусь на бухгалтера и каждую сессию получаю эти пресловутые задачки. Спасибо вам за помощь с работами! Я всегда оформлялась за несколько дней до сдачи, чтобы успеть получить, проверить, распечатать и сдать. Радуют цены, т.к. за учебу итак плачу денежку немалую.
Очень люблю точные науки. С цифрами мне проще работать. Поэтому я поступил на физмат. Но оказывается весь первый курс у нас продолжают преподавать школьную программу по русскому языку и литературе. Ненавижу писать сочинения. Спасибо однокурснику – показал сайт на котором быстро, качественно!
После 9 класса поступил в колледж. Случайно узнал о сайте решаемонлайн – делают за тебя всю домашнюю работу быстро и не дорого. Одногруппники о таком сайте не знают. Стал всем ребятам предлагать помощь в домашнем задании, при этом перенаправляю на работников сайта!
Спасибо вам, дорогие друзья, за помощь! Для меня было жизненно важно закрыть сессию и сдать все экзамены, чтобы получить стипендию. Но я вообще, ну никак не успевала сдать парочку задач по макроэкономике, списывать было не вариант. Мне решили все за один день, по демократичной цене!
Всю свою сознательную жизнь программировал на С++, а тут преподаватель задал задачку на языке Phynton. Не стал долго заморачиваться и написал ребятам из решаемонлайн – был очень удивлен когда они взялись за работу и через день прислали решение задачи. При этом денег практически не взяли!
На последних курсах просто некогда заниматься заданиями, которые выдаются на дом. Итак куча дел, а я должен видеть ночами и помимо основной работы и диплома писать задачки. Нашел сайт, где буду заказывать ответы для галочки, а получил настоящих друзей со скидками и супербыстрой реакцией! Спасибо!
Компьютер для меня - это настоящая черная дыра, умею только то, что делает среднестатистический пользователь. Задали сделать видео с музыкой из своих фоток, а я только накачала вирусов, пока искала программку. Посоветовали обратиться к специалистам, нашла ваш сайт. Спасибо за готовое задание!
На втором курсе учиться очень сложно. Я не успевал ничего из-за новых предметов и жуткого расписания занятий. Именно тогда с вами познакомился и стал заказывать мелкие задачки, которые делать не хотелось (или попросту не хватало часов в сутках). Сейчас выпускаюсь и хочу сказать спасибо за поддержку
На потоке знакомый подкинул идею – что бы самому не заморачиваться с выполнением задач по термодинамики, можно заказать где-то в интернете. Наткнулся на reshaemonline. Предоставил всю методичку, решения скидывают по мере необходимости, еще ни разу не подводили.
Мне нужно было срочно решить несколько задач по матанализу, иначе ждало отчисление. От безысходности полез в интернет и начал оставлять заявки везде, где предлагаются услуги помощи студентам. Тут мне ответили быстрее всех, я оформил заказ и получил файлик с готовым решением в этот же день. Спасибо!
Медикам особенно тяжело учиться… я частенько обращаюсь за помощью, чтобы закрыть неважные предметы и уделить время учебе по специальности. Задачи по генетике - это зло, но мне не пришлось ими заниматься. :) Я просто передал специалистам нежелаемые дела и получил море свободного времени для написания
Медикам особенно тяжело учиться… я частенько обращаюсь за помощью, чтобы закрыть неважные предметы и уделить время учебе по специальности. Задачи по генетике - это зло, но мне не пришлось ими заниматься. :) Я просто передал специалистам нежелаемые дела и получил море свободного времени для написания
На размещение заявки уйдёт 60 секунд :)
Компания Reshaemonline оказывает помощь студентам, аспирантам, начинающим ученым, подбирая и обрабатывая должным образом материал. Прочитав его, вы глубже поймете суть предмета, сможете двигаться дальше. Так решение задач содержит не только расчеты, но и расшифровку примененных формул, описание логики поиска ответа. Прочитав его от корки до корки, вы легко решите аналогичные задания на экзамене или зачете.
Выполненные на заказ более серьезные студенческие работы, такие как диплом или курсовая, научат тому, как выглядят, пишутся и оформляются научные работы. Например, без должного опыта первая научная статья пишется невероятно долго, ее не раз возвращают редакторы для внесения корректив. Опытный автор с первого раза напишет текст, достойный публикации.
А чтобы учиться стало еще легче, при первой необходимости непонятный материал объяснят авторы компании. Наличие у них преподавательского опыта позволяет это сделать максимально понятно для студента.